Algebra Review
(Partially from Ch R, Lial, Hornsby, Schneider: “College Algebra 9/e”, Addison Wesley
and K.E. Martin-Gay: “Beginning & Intermediate Algebra” Prentice Hall)
The problems given here are examples of material that are expected to know before taking College Algebra. Check your answers when you’ve completed.
1. ORDER OF OPERATIONS

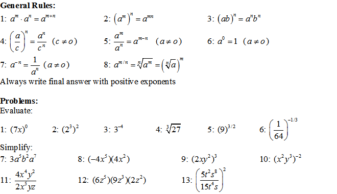
2. EXPONENTS

3. POLYNOMIALS

4. FACTORING


5. RATIONAL EXPRESSIONS


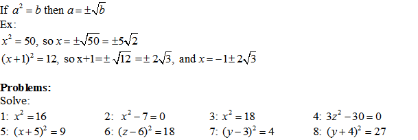
6. SQUARE ROOT PROPERTY

7. LINEAR EQUATIONS IN ONE VARIABLE

8. SOLVING QUADRATIC EQUATIONS BY FACTORING

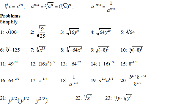
9. RATIONAL EXPONENTS

10. RADICALS

11. COMPLEX NUMBERS

12. BASIC WORD PROBLEMS

13. GRAPHING
